The renovation of old urban communities is a major livelihood and development project.In July 2020, the General Office of the State Council issued the Guiding Opinions on Comprehensively Promoting the Renovation of Old Urban Communities (GBF [2020] No. 23), which clearly proposed that the comprehensive renovation of old residential communities should be promoted in an orderly manner.
Residential lighting is a basic and necessary project for the renovation of old urban communities, but the problem of electricity costs has led to difficulties in accessing traditional mains lighting.In order to solve the lighting problems in old communities and respond to the “dual carbon” strategy, this article proposes a solar street lamps design scheme that integrates the characteristics of old communities.
1. Comparison ofh traditional mains lighting and solar lighting in the renovation of old residential areas
A simple comparison is made from the lighting applications in old residential areas, as shown in Table 1.
| Traditional mains lighting | Solar lighting | |
| Investment | Cable and pipeline installation required, with high investment | Compared to the municipal lighting scheme, the initial investment is lower |
| Power supply | Payment of electricity fees is required in the later stage, making it difficult to obtain electricity | Independent built-in power supply, no need to pay electricity bills |
| Post maintenance | Only maintenance is required for the lighting fixtures, with a low cable failure rate and the need for anti-theft management of the cables | The battery has a lifespan of 2-3 years and needs to be replaced regularly, resulting in high maintenance costs; Including modules such as inverters, the circuit is more complex and difficult to maintain |
| Lighting effect | Can ensure stable lighting effects | Unable to maintain long-term stable lighting effects due to factors such as sunlight and energy storage |
| Product | The product is relatively mature and has high reliability | The product quality is uneven and the reliability is poor |
2. Solar street lamps system
Solar photovoltaic power generation is actually the process of converting light energy into electrical energy by solar cells.First, the light energy is converted into photogenerated carriers, which are then separated by an electrostatic field generated by the semiconductor P-N junction, forming a potential difference on both sides of the P-N junction. Finally, an external circuit is connected to generate output power.

It consists of solar photovoltaic modules, battery modules, lamps, intelligent controllers, environmental sensors, etc., as shown in Figure 1.Compared with traditional gas light sources, LED light sources have the advantages of low-voltage DC drive, high luminous efficiency, low power consumption, and long service life, making them more suitable for use in solar street lamps.
3. Design scheme and calculation
3.1 Determination of light source and system voltage VS
(1) Light source design
According to Article 3.5.1 of CJJ45-2015, the standard value of average illuminance on the road surface in the old residential area is taken as Eav = 5 lx.The road width of the residential area is W = 5 m, the number of street lamps arranged on one side is N = 1, the installation spacing of street lamps is S = 25 m, the utilization factor of lamps is ηed = 0.32, and the maintenance factor is K = 0.8.
As the warm color tone selected in the community can create a warm atmosphere, the color temperature of the LED lamps is selected to be 3500 K. Initially, the LED light source is selected to be 25 W, and the luminous flux of the LED street lamps is Φ=2375 lm.The average illuminance of the road surface is generally considered based on the standard straight line segment, and the utilization factor curve method is used for calculation.The calculation formula is:

Where, Eav is the illuminance, lx;ηed is the utilization factor of the luminaire;Φ is the luminous flux, lm;K is the maintenance factor;N is the luminaire factor, which is 1 when the street lamp is arranged on one side;S is the installation spacing of the street lamp, m;W is the width of the road, m. The results show that the requirements of CJJ45-2015 are met.Engineering design: choose a 25 W LED light source with a color temperature of 3500 K, arranged on one side, with a street lamp installation spacing of S = 25 m and an installation height of 5 m.
(2) Evaluation of lighting energy conservation
For motorway lighting, the lighting power density (LPD) should be used as an evaluation indicator for lighting energy conservation and meet corresponding regulations, while the lighting in residential areas can meet the specifications due to their lower illuminance standards.
(3) System voltage VS
The DC input voltage of the solar street lamp source is used as the system voltage, typically 12 V or 24 V. Due to the low installation height of the lamps and the low line loss, the working voltage of the solar street lamps in this project is taken as VS = 12 V.
Engineering design: working voltage VS = 12 V;using a brand of photovoltaic module with peak output power Pm = 75 W, its peak working voltage Vm = 17.8 V, peak working current Im = 4.22 A.
3.2 Relevant input data
(1) Daily average radiation HA
According to the amount of total solar radiation received in various regions, the country can be divided into five categories.Jiangxi, where the project is located, belongs to the fourth category, with an annual total solar radiation of 1,163-1,393 kWh/m2 and an average daily radiation of 3.1-3.8 kWh/m2 under standard illumination.
Engineering design: According to Appendix B of GB 50797-2012, the daily radiation in Nanchang is 13,094 kJ/m2, which is converted to HA =3.6 kWh/m2.
(2) Daily electricity consumption during the period of no sunshine Dt
Preliminary calculations of daily power consumption of the load and the corresponding power of the solar cell modules.
The solar street lamps work every night by adjusting the output of current through the controller, with different brightness at different times.Considering that the flow of people in the community is mainly concentrated from dusk to 11 pm, adjusting the brightness according to time through the controller can effectively save energy.Engineering design: From 7 pm to 11 pm, there is a large flow of people, with full power output;from 11 pm to 5 am the next day, with 1/4 power output, then:

(3) The number of consecutive rainy days d1 and the number of days between two consecutive rainy days d2
The number of consecutive rainy days d1 determines the size of the battery capacity and the power of the solar cell modules required to restore the battery capacity after the rainy days. The number of days d2 between two consecutive rainy days determines the power of the battery modules required to fully charge the battery after a consecutive rainy day.
According to Article 5.1.2 and Article 7.2.5 of GB 24460-2009, solar street lamps should be able to provide normal lighting for at least 2 to n consecutive days, so the battery capacity needs to be maintained for n + 1 days.
Engineering design: The number of consecutive rainy days d1 = 3 days;the interval between two consecutive rainy days d2 is set to 20 days.
(4) Continuous rainy days allowance factor F, photovoltaic system comprehensive efficiency factor K, irradiance Es under standard conditions
According to 15D202, the selected continuous rainy days allowance factor F = 1.2 ~ 2.0 for this project, and the irradiance under standard conditions is constant Es = 1 kW/m2.The comprehensive efficiency factor of the photovoltaic system needs to consider the installation inclination and azimuth correction factor of the photovoltaic array, the attenuation correction factor of the photovoltaic component, the temperature correction factor of the photovoltaic component, the surface pollution and obstruction correction factor of the photovoltaic component, the adaptation factor of the photovoltaic component, the availability of the photovoltaic system, the average efficiency of the inverter, and the loss factor of the current collection line. The comprehensive efficiency factor of the photovoltaic system is usually taken as 0.7 ~ 0.8.
Engineering design: F = 1.2, Es = 1 kW/m2, K = 0.8.
(5) Depth of discharge U of the energy storage battery, correction factor Fc of the discharge efficiency of the energy storage battery, and discharge efficiency Ka of the energy storage battery
According to Article 5.2.2 of GB 24460-2009, the battery should have at least 20% of the remaining charge on the last day.Therefore, the discharge depth of the energy storage battery U is ≥0.8.
According to 15D202, the discharge depth of the energy storage battery U = 0.5 ~ 0.8, the correction factor of the discharge efficiency of the energy storage battery Fc = 1.05, and the discharge efficiency of the energy storage battery Ka = 0.7 ~ 0.8.
Engineering design: Considering the load level of residential lighting, U = 0.8, Fc = 1.05, and Ka = 0.8 are selected.
3.3 Selection of solar modules
(1) Calculation of PV array capacity

Capacity, W;Dt is the daily electricity consumption hours of the load, h;F is the allowance factor considering the number of consecutive rainy days, which can be taken as 1.2 to 2.0Es is the irradiance (constant) under standard conditions, 1kW/m2;HA is the average daily total solar irradiance on the horizontal plane in the worst month of solar radiation, kWh/m2/day;K is the comprehensive efficiency coefficient of the photovoltaic system.
(2) Number of photovoltaic modules in series Ns
The peak operating voltage of the photovoltaic string should meet the requirements of the floating voltage of the energy storage battery (including the voltage drop of the anti-reverse diode and the DC line), then:

Where, Ns is the number of battery modules in series, and Vsc is the float voltage of the energy storage battery pack, V;Vm is the peak operating voltage of the selected components, V. The area Ns = 1 block.
(3) Average daily power generation of solar photovoltaic modules E

Where, Ep is the average daily power generation of solar photovoltaic modules, Ah;Im is the peak working current of selected modules, A;HA is the average daily horizontal total solar irradiance in the worst month of solar radiation, kWh /m2 /day;K is the comprehensive efficiency coefficient of photovoltaic system.
(4) Daily power consumption of load Ec

Where, Ec is the daily power consumption of the load, Ah;P0 is the average capacity of the load, W;Vs is the system voltage, V.
(5) The minimum number of days between two consecutive rainy days that require additional battery capacity Cc1

Where, Cc1 is the additional battery capacity, Ah;K1 is the safety factor, taken as 1.2;Ec is the daily load consumption, Ah;d1 is the number of consecutive rainy days.
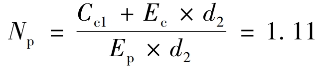
(6) Number of parallel photovoltaic modules Np
According to 15D202, when the number of days between intervals is not considered:

When considering the interval days:

Where, Np is the number of parallel photovoltaic modules;Cc1 is the additional battery capacity, Ah;Ec is the daily load consumption, Ah;d2 is the number of days between two consecutive rainy days;Ep is the average daily power generation of solar photovoltaic modules, Ah.
Taking into account the comprehensive consideration, we take Np=1.
Engineering design: one solar cell module with a peak power of 75 W is selected.
3.4 Calculation of total capacity of energy storage battery

Where, Cc is the total capacity of the energy storage battery, Ah;Dt is the daily electricity consumption hours of the load, h;d1 is the number of consecutive rainy days;P0 is the average capacity of the load, W; Fc is the discharge efficiency correction factor;U is the discharge depth;Ka is the discharge efficiency;Vs is the system voltage, V.
Engineering design: Selecting fully sealed maintenance-free gel batteries with a total capacity of 65 Ah.
3.5 Selection of solar panel angle
The power generation efficiency of solar panels is closely related to the installation tilt angle of solar panels.In the design of solar LED street lamp systems, in order to improve the power generation efficiency of solar panels, the tilt angle of solar panels should be determined according to the latitude of the installation location to ensure maximum power generation from solar cells.Suggestions for the installation angle of solar panels are given as follows:
1) When the latitude is 0°-25°, the inclination angle is equal to the latitude;
2) When the latitude is 26° to 40°, the inclination angle is equal to the latitude plus 5° to 10°;
3) When the latitude is 41° to 55°, the inclination angle is equal to the latitude plus 10° to 15°;
4) When the latitude is above 55°, the tilt angle is equal to the latitude plus 15° to 20°;
Engineering design: The project is located in Nanchang, with a latitude of 28.67°. According to Appendix B of GB 50797-2012, the inclination angle of the solar panel is 30.67°.
3.6 Lightning protection and grounding
The working voltage of solar street lamps is generally DC12V or 24V, which is a safe voltage and can be left without protective grounding.However, to ensure the safe operation of solar street lamps, lightning protection and grounding design should be carried out.The lightning protection and grounding of solar street lamps can use the metal lamp post as both lightning receptor and downlead, and use the foundation reinforcement of the street lamps as the grounding body. The grounding resistance should not exceed 10Ω.
4 Engineering cases
In a practical case of renovation of an old residential area, the comparison between traditional lighting solutions and solar energy solutions is shown in Table 2.
| Traditional mains lighting scheme | Solar lighting scheme | |
| Configuration plan | 3 distribution boxes, 126 sets of 25 W LED street lights, using YJV-0.0 6/1kV-3 × Laying of 10 carbon corrugated pipes | 126 sets of 25 W LED street lights, 65 Ah battery, 75 W solar cell modules |
| Investment/10000 yuan | 180 | 52 |
| Lighting effect | The load level is level three, which can maintain stable lighting effects while ensuring power supply | Adopting a plan of continuous rainy days for 3 days can maintain stable lighting effects |
| Annual power consumption/kWh | 11037 | 0 |
Figure 2 is an application example of solar street lamps in a certain residential area after four consecutive rainy days.Due to the integration of high-precision LED constant current drive chips inside the solar controller, intelligent digital regulation technology is used for constant current output, and the luminous flux is directly proportional to the current of the street lamp. Therefore, when the constant current output is guaranteed, the luminous flux of the LED street lamp will not change.In the design, by reasonably selecting the technical parameters, the LED solar street lamp can still provide effective lighting guarantee after four consecutive rainy days within the allowable range of discharge depth.

After adopting the solar street lighting solution, the overall investment in the old residential area was saved by 70%. It also solved the problem of the residential area being unable to obtain municipal power due to electricity costs. At the same time, the solar street lamps used a constant current output solution, which ensured that the output of luminous flux would not be affected by the reduction in battery capacity, and could also maintain stable road illumination.
5. Conclusion
Considering that the buildings in old residential areas are generally not high and the shading phenomenon is not serious, which is conducive to the collection of solar energy;in addition, the requirements for lighting time and effective range of residential lighting are not high.Therefore, in the case of difficulty in obtaining commercial power supply for lighting in old residential areas, in response to the national policy call for the renovation of old residential areas and the dual-carbon goal, the scientific and rational design of solar LED street lights plays a positive role in improving the living standards of residents.
